网站首页 企业简介 产品展示 资料下载 公司设备 人才招聘 公司动态 联系我们
  • 1
  • 2
  • 3
  • 4
 
 

  

  联系人:唐金萍
  电话:0532-87225999
  传真:0532-87226000
  技术:刘工 13905326659
  地址:山东省胶州市海尔大道8号

 

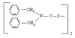
产品名称:秋兰姆类  
产品型号:TBzTD
产品简介:
化学名称:二硫化四苄基秋兰姆
分子式:C30H28S4N2
分子量:544
CAS NO:10591-85-2
用 途:
    开发本品为目的是为了取代秋兰姆类促进剂如WILLING TMTD,主要是因为秋兰姆类促进剂易产生致癌物亚硝胺,而二苯亚硝胺是没有致癌性的。用于NR、SBR、EPDM、NBR体系可以用作快速主促进剂或次促进剂,比WILLING TMTD使用过程更加安全且防焦时间更长,有时用于PVC橡胶硫化抑制剂。
包 装:
    25kg塑编袋、纸塑复合袋、牛皮纸袋。
贮 存:
    应储存在阴凉干燥、通风良好的地方。包装好的产品应避免阳光直射,托与托之间不能重叠堆放,重叠堆放或温度超过35οC会导致产品非正常压缩。有效期1年。
说 明:
    本产品可以根据客户要求做超细粉末。
结构式:
产品规格:

版权所有®:青岛海飞化学有限公|管理入口
地址: 中国 山东 胶州市 海尔大道8号
鲁ICP备13015902号